
Optimizing a novel cellulose dry-forming method
The Swedish start-up Yangi AB has developed a dry-forming technology that enables the production of a uniquely resistant structure, free from plastic layers. They teamed up with the Danish Technology Institute (DTI) and DESY to get a better understanding of how manufacturing compression conditions affect the mechanical properties of more sustainable packaging solutions.
Yangi AB supports brands in achieving their sustainability targets by helping them transform a wide range of their plastic packaging portfolio into new, alternative, and renewable packaging solutions that offer competitive production costs, fully renewable raw materials, and resource-efficient production. The company has developed a ground-breaking, dry-forming technology to create 3D-formed, cellulose-based packaging that does not need any process water. This is done by using a combination of air-laid formation and fast pressing of the cellulose fibers. The dry-forming technology enables the production of a uniquely resistant structure that is free from plastic layers.
The process can produce packaging for the demanding case of takeout food and drinks while still being certifiably easy to recycle. However, the technology is not limited to takeout and could also be applied to grocery store packaging, or even packaging of goods - since the dry-forming process is more efficient and environmentally friendly than common wet-forming methods.

The challenge
In conventional wet forming or paper-making processes, water plays a crucial role in fiber swelling, mobility, and hydrogen bond formation during drying.
When water is removed from the equation, these natural bonding pathways disappear - and the scientific understanding of how fibers interact, deform, and adhere in a dry environment is still very limited.
In dry forming, bonding instead relies on heat and pressure - so understanding how cellulose structure is affected by pressure and heat is crucial for the development of the packaging material.
I had a great experience collaborating with DTI. It was clear from the start that they were knowledgeable, expertly guiding us through the design process of our experiment, delivering beneficial and timely results. Their method gave us valuable insight into developing our own process within Yangi
- Polina Naidjonoka, Material Scientist, Yangi
The solution
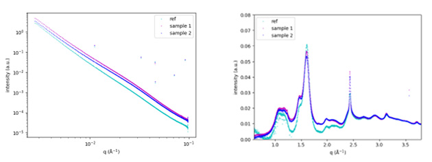
Yangi knew in advance how to acquire the necessary knowledge – it needed to be done by using Small- and Wide-Angle X-ray Scattering (SAXS/WAXS). With this analytical technology, Yangi could directly examine the properties of the cellulose fibrils – length, orientation, and crystallinity. These properties determine the behavior of the packaging, including its strength and surface texture, and are therefore important to understand.
However, the company did not have access to this technology. Fortunately, they had seen a LinkedIn post from DTI about Big Science and the use of advanced characterization at large-scale research infrastructures. Therefore, Yangi reached out to DTI’s specialists in advanced characterization, who have a large network within these research infrastructures - and luckily, they were able to help.
This meant that high-quality data was collected through a collaboration between DTI and the German national accelerator facility, DESY. The measurements were carried out at PETRA III’s Micro- and Nanofocus X-ray Scattering Beamline P03.
The measurements showed that fibers in dry-formed samples were more compacted and oriented due to the applied heat and pressure, which influenced how they bonded together. The bonding is especially important when forming cellulose fibers into a 3D shape, since - unlike plastic materials - the fibers are not infinitely stretchable.

Left) Team while measuring at the beamline P03, PETRA III - Right) WAXS detector (top right) and flight tube for the USAXS detector (in the middle), at the beamline P03 at PETRA III.
The value
The results provided Yangi with a deeper understanding of how heat and pressure influence fiber bonding and material structure in dry forming. This knowledge has helped the company guide process optimization and material development, making it possible to adjust forming parameters and fiber formulations to achieve stronger, more consistent products.
During the measurements at PETRA III, multiple samples were fully characterized on the nanometer length scale in a short period of a few hours. The measurements proved that it is possible to understand the structure of the fiber material in detail by using advanced characterization at large scale research infrastructures.
